반응형
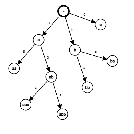
트라이(Trie)는 문자열을 저장하고 빠르게 탐색하기 위해 사용되는 트리 형태의 자료구조입니다.

각 노드는 문자를 나타내며, 문자열의 접두사를 공통으로 가지는 경로를 형성합니다.
구현
저는 다음과 같이 구현하였습니다.
#include <bits/stdc++.h>
using namespace std;
typedef struct node {
char c = '\0';
bool is_word;
vector<node *> children;
};
struct Trie {
node root;
node *_insert(node *rt, const char *s) {
if (s[0] == '\0') {
rt->is_word = true;
return rt;
}
for (node *child : rt->children) {
if (child->c == s[0]) return _insert(child, &s[1]);
}
node *n = new node();
n->c = s[0];
rt->children.push_back(n);
return _insert(n, &s[1]);
}
node *insert(const char *s) { return _insert(&root, s); }
node *_search(node *rt, const char *s) {
if (s[0] == '\0') {
return rt;
}
for (node *child : rt->children) {
if (child->c == s[0]) {
return _search(child, &s[1]);
}
}
return NULL;
}
node *search(const char *s) {
node *t = _search(&root, s);
if (t == NULL || !t->is_word) return NULL;
return t;
}
vector<node *> _prefix_search(node *rt) {
vector<node *> results;
if (rt->is_word) results.push_back(rt);
for (node *child : rt->children) {
vector<node *> _p = _prefix_search(child);
results.insert(results.end(), _p.begin(), _p.end());
}
return results;
}
vector<node *> prefix_search(const char *s) {
node *t = _search(&root, s);
if (t == NULL) return {};
return _prefix_search(t);
}
} trie;
int main() {
return 0;
}
- [14426] 접두사 찾기
더보기굳이 트라이를 쓰지 않아도 되지만, 트라이로 풀 수 있습니다.
- [3178] 코코스
더보기주어진 문자열을 반으로 잘라서 각각 트라이에 넣고 두 트라이의 노드 수를 합하면 되는 문제입니다.
반응형
'Algorithm > Data Structure' 카테고리의 다른 글
| [자료구조] sparse table (3) | 2020.10.09 |
|---|---|
| [자료구조] 세그먼트 트리(Segment Tree) (0) | 2020.04.14 |
| [자료구조] 큐(Queue) (0) | 2019.11.11 |
| [자료구조] 스택(Stack) (2) | 2019.11.03 |
tokki
댓글